i

Kriterien mit höheren Ableitungen

Aufgabe 1

Die Tabelle zeigt Information (z.T. gerundete Werte) über die Funktion $f$ mit $f(x) = -0.0625x^4 - 0.25x^3$.

(a) Bestimme mit dieser Information folgende besondere Punkte von Graph $f$:

  • Schnittpunkte mit der $x$-Achse und der $y$-Achse
  • Hoch- und Tiefpunkte
  • Wendepunkte / Sattelpunkte

Beachte, dass die Tabelle auch Information enthält, die für die Bestimmung der besonderen Punkte nicht benötigt wird. Gib jeweils genau an, wie du (mit einem passenden Kriterium) argumentierst.

$x$ $-4$ $-3$ $-2$ $-1$ $0$ $1$
$f(x)$ $0$ $1.69$ $1$ $0.19$ $0$ $-0.31$
$f'(x)$ $4$ $0$ $-1$ $-0.5$ $0$ $-1$
$f''(x)$ $-6$ $-2.25$ $0$ $0.75$ $0$ $-2.25$
$f'''(x)$ $4.5$ $3$ $1.5$ $0$ $-1.5$ $-3$

(b) Skizziere mit den Ergebnissen aus (a) den Graph von $f$.

Kontrolliere mit dem Funktionenplotter. Gib hierzu den Funktionsterm $f(x) = -0.0625x^4 - 0.25x^3$ mit einem passenden Bereich (siehe Tabelle oben) in den Plotter ein.

Zum Herunterladen: plotter2.ggb

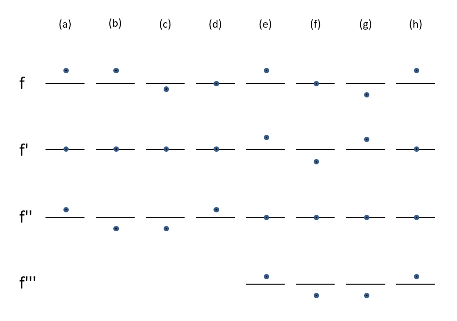
Aufgabe 2

Die folgende Grafik zeigt Information über eine Funktion $f$ und ihre Ableitungen.

Höhere Ableitungen

Deute jeweils den Verlauf von Graph f in einer Umgebung des eingezeichneten Punktes an.

Tipp: Beginne jeweils beim unteren Graphen. Im ersten Beispiel kann man ablesen, dass hier $f''(x) > 0$ gilt. Der Graph von $f'$ muss also in einem kleinen Bereich um $x$ steigen. Da $f'(x) = 0$ auch vorgegeben ist, muss an der Stelle $x$ eine Nullstelle mit einem $-/+$-Vorzeichenwechsel vorliegen. Mit diesem Wissen kann man zunächst den Graph von $f'$ in einem Bereich um $x$ andeuten. Weiter kann man schließen, dass $f$ an der betreffenden Stelle $x$ einen Tiefpunkt haben muss. Den kann man jetzt im obersten Koordinatensystem (mit einen kleinen Bogen) andeuten.

Aufgabe 3

Bestimme jeweils die Wendepunkte von $f$. Zur Kontrolle kannst du den Funktionenplotter oben benutzen.

(a) $f(x) = x^3 + 3x^2 + 1$

(b) $f(x) = \frac{1}{12}x^4 - 2x^2$

(c) $f(x) = 3x^5 - 5x^3$

Suche

v
111.3.6.3.2
dev.o-mathe.de/dr2/funktionsuntersuchungen/wendepunkte/uebungen/hoehereableitungen
dev.o-mathe.de/111.3.6.3.2

Rückmeldung geben